2044: 道路修建
Memory Limit:128 MB
Time Limit:1.000 S
Judge Style:Text Compare
Creator:
Submit:5
Solved:2
Description
在 W 星球上有 n 个国家。为了各自国家的经济发展,他们决定在各个国家之间建设双向道路使得国家之间连通。
但是每个国家的国王都很吝啬,他们只愿意修建恰好 n – 1条双向道路。 每条道路的修建都要付出一定的费用, 这个费用等于道路长度乘以道路两端的国家个数之差的绝对值。
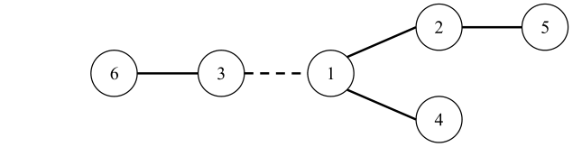
例如,在下图中,虚线所示道路两端分别有 2 个、4个国家,如果该道路长度为 1,则费用为1×|2 – 4|=2。图中圆圈里的数字表示国家的编号。

由于国家的数量十分庞大,道路的建造方案有很多种,同时每种方案的修建费用难以用人工计算,国王们决定找人设计一个软件,对于给定的建造方案,计算出所需要的费用。请你帮助国王们设计一个这样的软件。
Input
输入的第一行包含一个整数n,表示 W 星球上的国家的数量,国家从 1到n 编号。
接下来 n – 1行描述道路建设情况,其中第 i 行包含三个整数ai、bi和ci,表示第i 条双向道路修建在 ai与bi两个国家之间,长度为ci。
Output
输出一个整数,表示修建所有道路所需要的总费用。
Sample Input Copy
6
1 2 1
1 3 1
1 4 2
6 3 1
5 2 1
Sample Output Copy
20
HINT
n = 1,000,000 ; 1≤ai, bi≤n; 0 ≤ci≤ 10^6。