1710: 快递转运中心(割点)
Memory Limit:128 MB
Time Limit:1.000 S
Judge Style:Text Compare
Creator:
Submit:71
Solved:8
Description
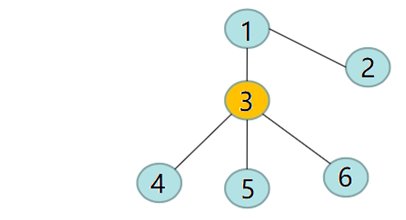
某快递公司在城市A布局了n个货站,共有m条道路连接起 n个货站。在这n个货站中有 k个快递转运中心,快递包裹需在转运中心经过分拣后,发往对应的货站。见如下图,可看出3号结点是快递转运中心。

请你在给定的n个点m条边的无向图中,找出快速转运中心的个数 k ,以及快速运转中心的编号,并以增序排列输出。
Input
输入第一行输入两个正整数 。
以下 行每行输入两个正整数 表示 到 有一条双向的道路。
Output
输出有两行,第一行输出割点个数。
第二行按照节点编号从小到大输出节点,用空格隔开。
Sample Input Copy
8 9
1 2
1 4
2 3
3 4
1 5
5 6
5 8
6 7
7 8
Sample Output Copy
2
1 5
HINT
对于全部数据,,。
点的编号均大于 小于等于 。