1702: 有向图上的下棋游戏
Memory Limit:128 MB
Time Limit:1.000 S
Judge Style:Text Compare
Creator:
Submit:54
Solved:17
Description
寒假里玲玲设计了一个可在有向图上玩的游戏。给定一个有向图(可能有环),每轮游戏有一个起点和终点,给定一枚棋子,从起点A先移动棋子,然后他们交替移动,当谁把这枚棋子移动至终点,谁就胜利了。同样,若是有人无法移动了,就会被判失败。现请你在给定的有向图上判别若A必胜,输出1,若B必胜,输出-1,若两人均无必胜策略,输出0。
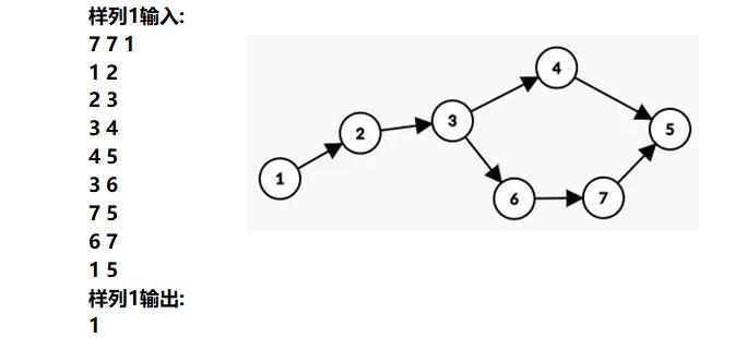
解释: 如图,A 先走,走到 ,B 走到 ,接下去 A 可以选择走到 或 ,若走到 ,接下去 B 可以走到终点,故不可取。若选择走到 ,那么 B 只能走到 ,A 可以走到终点。所以 A 有必胜策略。

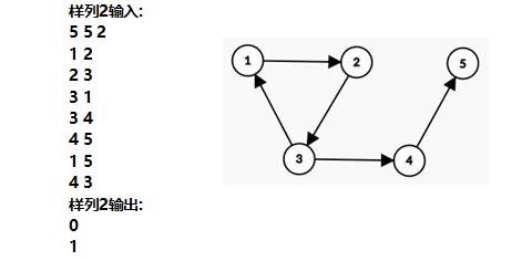
解释: 如图,起点1终点5时,A与B会沿着1-2-3-1的顺序轮流走,谁也不愿走到4 因为先走到4下一步就可以走到终点取胜了。
第二轮起点为4终点为3时,A先走到5,B则无路可走了,故B失败。
Input
第一行有三个整数 n,m,q,表示图上有n个点,m条边,一共进行q轮游戏
接下来 m行,每行输入两个数 u,v,表示从u到v有一条边。
接下来 q行,每行两个数 x,y ,表示每轮操作的起点和终点。数据保证起点,终点不同。
接下来 m行,每行输入两个数 u,v,表示从u到v有一条边。
接下来 q行,每行两个数 x,y ,表示每轮操作的起点和终点。数据保证起点,终点不同。
Output
对于每轮游戏,仅输出一个整数
0 或 1 或 -1,其中 1 表示先手有必胜策略,-1 表示后手有必胜策略,0 表示两人均无必胜策略。Sample Input Copy
5 5 3
1 2
2 3
3 1
3 4
4 5
1 5
4 3
5 3
Sample Output Copy
0
1
-1
HINT