1681: 加工零件
Description
凯凯的工厂正在有条不紊地生产一种神奇的零件,神奇的零件的生产过程自然也很神奇。
工厂里有n位工人,工人们从1 ∼ n 编号。某些工人之间存在双向的零件传送带。保证每两名工人之间最多只存在一条传送带。
如果x号工人想生产一个被加工到第 L(L > 1) 阶段的零件,则所有与x号工人有传送带直接相连的工人,都需要生产一个被加工到第L − 1 阶段的零件(但x号工人自己无需生产第 L − 1 阶段的零件)。
如果x 工人想生产一个被加工到第 1 阶段的零件,则所有与x号工人有传送带直接相连的工人,都需要为x号工人提供一个原材料。
轩轩是 1 号工人。现在给出q张工单,第 i 张工单表示编号为 ai的工人想生产一个第 Li 阶段的零件。轩轩想知道对于每张工单,他是否需要给别人提供原材料。他知道聪明的你一定可以帮他计算出来!
Input
第一行两个正整数 n,m和 q,分别表示工人的数目、传送带的数目和工单的数目。
接下来m行,每行两个正整数 u 和 v,表示编号为 u 和 v 的工人之间存在一条零件传输带。保证 u ≠ v。
接下来 q 行,每行两个正整数 a和 L,表示编号为 a 的工人想生产一个第 L 阶段的零件。
1 <= n, m, q <= 10^5
Output
共q行,每行一个字符串 “Yes” 或者 “No”。如果按照第 i 张工单生产,需要编号为1 的轩轩提供原材料,则在第 i行输出 “Yes”;否则在第 i行输出 “No”。注意输出不含引号。
Sample Input Copy
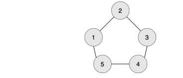
5 5 5
1 2
2 3
3 4
4 5
1 5
1 1
1 2
1 3
1 4
1 5
Sample Output Copy
No
Yes
No
Yes
Yes
HINT
【输入输出样例说明】

编号为 1 的工人想生产第 1 阶段的零件,需要编号为 2 和 5 的工人提供原材料。
编号为 1 的工人想生产第 2 阶段的零件,需要编号为 2 和 5 的工人生产第 1 阶段的零件,需要编号为 1,3,4 的工人提供原材料。
编号为 1 的工人想生产第 3 阶段的零件,需要编号为 2 和 5 的工人生产第 2 阶段第10页共10页的零件,需要编号为 1,3,4 的工人生产第 1 阶段的零件,需要编号为 2,3,4,5 的工人提供原材料。
编号为 1 的工人想生产第 4 阶段的零件,需要编号为 2 和 5 的工人生产第 3 阶段的零件,需要编号为 1,3,4 的工人生产第 2 阶段的零件,需要编号为 2,3,4,5 的工人生产第 1 阶段的零件,需要全部工人提供原材料。
编号为 1 的工人想生产第 5 阶段的零件,需要编号为 2 和 5 的工人生产第 4 阶段的零件,需要编号为 1,3,4 的工人生产第 3 阶段的零件,需要编号为 2,3,4,5 的工人生产第 2 阶段的零件,需要全部工人生产第 1 阶段的零件,需要全部工人提供原材料。