1418: 二叉树的最大深度
Memory Limit:128 MB
Time Limit:1.000 S
Judge Style:Text Compare
Creator:
Submit:198
Solved:109
Description
给定一前序二叉树的数据,数字为-1表示结束,请构造根节点为 root 的二叉树,输出这棵二叉树的最大深度。二叉树的深度为根节点到最远叶子节点的最长路径上的节点数。
示例 1:
输入: 2 1 0 0 3 0 0 -1
输出: 2 解释:返回它的最大深度 2 。
示例 2:

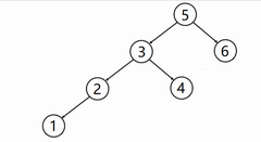
输入: 5 3 2 1 0 0 0 4 0 0 6 0 0 -1
输出: 4 解释:返回它的最大深度 4 。
Input
输入一前序二叉树的数据,数字零表示NULL。数据之间空格分隔。
Output
输出这一二叉树的最大深度。
Sample Input Copy
5 3 2 1 0 0 0 4 0 0 6 0 0 -1
Sample Output Copy
4
HINT
提示:
- 树中节点数目在范围 [0, 100] 内
- 1 <= Node数据 <= 1000